Сalculation of radiation protection of AFVs


This is a continuation and expansion of the previous article. If you haven't read the previous article which covers Anti-radiation material usage in Armoured Fighting Vehicles, it is recommended to read it first. That article will cover the basics of AFV protection against radiation. While this page will expand upon it with the explanation and theory behind calculating radiation protection of AFVs, and is not required to be read to understand what was mentioned in the previous article. 

Сalculation of radiation protection of AFVs.

The methods of calculating radiation protection for tanks are based on the principle of superposition with the concept of albedo doses, according to which the dose in the calculated biological hotspot is considered as a set of radiation doses passing through individual structural elements. Increasing the dose in already calculated points inside an object, which results in increased amounts of radiation reflection includes the usage of the albedo coefficient. 

Calculations for ARP (Anti-radiation protection) are carried out by NIIStali computing devices using the "ПРИЗ-2ПЛ(0)" - "PRIZE-2PL(0)" program, which consists of 4 stages. 
  • Creation of design schematics
  • Finding geometric parameters
  • Determining the technical protective characteristics of certain elements and the overall level of protection of an object as a whole
  • Optimization of protection 

At the first stage, based on drawings, schematics and technical documentation, a design scheme of the object is drawn up. The hull and turret are modelled as a closed set of flat triangular and quadrangular elements which are connected with each other. In this case, each element represented by a flat homogenous prism consists of one or more layers of materials. The thickness and composition of the materials are specified in the technical documentation data for the program. The inner bases of the prism form a polyhedral shape similar to a shell. Internal and external equipment is modelled in the form of parallelepipeds with the specified dimensions and composition of materials. 

The degree of detail based on the element-by-element representation of the design depends on the goals and objectives of the calculation. 

The compiled diagram is transferred to the computing system which retrieves the specific coordinates for each element and its position. This system additional checks whether or not the geometric parameters are set correctly. 

In the second stage, the parameters that characterize the mutual position of the designed points and the protective elements (elements of internal and external equipment and the so-called shell), their orientation in space and the vertical angles of the sets of overlapping elements in the coordinate system are determined in correlation with the main object. 

In the third stage, technical protective characteristics of the armoured object are calculated for the J-point, those being, coefficients of neutron dose attenuation (χjn), primary game radiation (χjγ1) and the coefficient of formation of secondary gamma aj presented in the form


where Djγ2, Djγ1, Djn - respectively the neutron dose, a dose of primary and secondary gamma-radiation, the accumulation by protection in process of capturing and non-elastic interference of neutrons with the calculated J-point.

D0n, D0γ1 is for representing neutron doses and primary gamma-radiation in an open area in relative range of said object (including that neutron doses and gamma-radiation are in constant presence around the object).

For determining the protection characteristics certain calculations are made: 
  • Neutron doses and primary gamma-radiation in the calculated j-point
Expression 1

Where Ω̅i is a singular vector, directed from the point of the elements external layer into towards the calculated J-point; Dn,γ1 (Ω̅i) ΔΩ - neutron doses and primary gamma-radiation, which enter the calculated point from the elements external layer in the direction of Ω̅i in the limitations of the elements angular property ΔΩ; χ(l)n,γ  - is the attenuation coefficient of neutron doses and gamma-radiation, using the element of internal measuring with an arranged number of l in the conjunction of elements (including the outer layer element), which stops the radiation in the Ω̅i direction; Ni - the number of elements of internal measuring, which stops the radiation in the Ω̅i direction; 
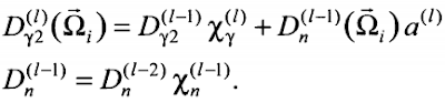
  • Doses of secondary gamma-radiation in the calculated J-point

Expression 2



Here D0γ2 = ai ΔΩ∕2π - is the dose of secondary gamma-radiation on the element, which enters the calculated point from the outer layer of the Ω̅i direction, in the limitations of the elements angular property ΔΩ (of which the angular dispersion is taken place by isotopes); ai - a dose of secondary gamma-radiation, accumulated in the outer layer of the element; χ(l)γ - attenuation coefficient of gamma-radiation dose l-m using the element of internal measuring in the conjunction of overlapping in the direction of Ω̅ia(l) - coefficient of accumulating dose of secondary gamma-radiation in the l-m element of internal equipment; D(0)n (Ω̅i) = Dn (Ωi) ΔΩ - a dose of neutrons, entering the calculated point from the outer layer in the direction of Ω̅i in the limitations of the elements angular property ΔΩ.

 Rays are isotropically emitted from the calculated point in all directions, each of which is assigned an element of solid angle ΔΩ = 4π/N where N is the total number of rays that are leaving the calculated point. Next, calculate which part of the so-called shell and which parts of internal equipment intersects with the incoming rays. These intersections form a set of overlaps, if the beam intersects parts of the external equipment, their thicknesses are added to the thickness of the corresponding part of the shell.

If a ray crosses parts of the internal equipment, their attenuating effect on the dose of neutrons and primary gamma-radiation is taken into account using the attenuation coefficients according to the expression (1).

The generation and reduction of the dose of secondary gamma-radiation when it penetrates through the elements of internal equipment is calculated using the coefficients of formation of secondary gamma-radiation doses and the coefficients of attenuation of gamma radiation in accordance with the current relations. (Expression 2)

Dose values of materials used in the shell, its elements and internal equipment, taken in the expression (1) and (2), were obtained by calculations provided by the NIIStali PRIZE program, for solving the equation of gamma-neutron radiation transfer in a plain multilayer geometry by using the discrete coordinates method. The theory of ionizing radiation transport and methods for solving the traversing equation in 1-dimensional geometry. 

The initial parameters for the calculation are the estimated data from the cross-sections of the interaction of neutrons and gamma-radiation with the protective materials and the energy-angle distribution of neutron and gamma radiation flux at the location of the tank. The outputted data include the energy-angle density of neutron and gamma radiation flux behind the protective element as well as various functionals like the angular dose distribution, the dose remaining after going through the barrier, neutron and gamma radiation dose attenuation coefficients and the secondary gamma radiation dose generation coefficients. 

Results retrieved from the PRIZE program are presented in the form of tables of protective characteristics, they are structured according to the composition of materials and relative thickness of each individual layer. In addition, for the shell elements, the data is divided by the angle of orientation perpendicular to a flat surface, this allows to determine the energy-angle distribution of radiation incidents on elements, and provide dose values for specific internal elements. If there are calculation overlaps that do not align with the correct characteristics, the data is recirculated through the PRIZ program using interpolation or is recalculated to get a more adequate result. 

After identifying the coefficient for each individual ray, protection characteristics are determined for the crew in specific points of impact using said formula. 


Where S= D0n/D0γl and the returning point KjΣ = 1/χjΣ, which identifies the magnitude of attenuation of the total dose which penetrates.  

After finding the values which determine the protective characteristic for all biological points for crew members (head, torso, legs), the protection amount for the object is determined. 
Using the same methodology, protective characteristics against gamma-radiation are determined. For this, the PRIZE-2PL(02) contains a special module. 

The program's algorithm presents;

  1. The collection only allows 1 element of the outer shell, if the geometry of the outer layer is not bloated, then the collection may contain several elements of the outer shell, in this case, the algorithm takes the closest element which is closest to the calculated point of said element, while the others are ignored. This type of calculation may cause an increased or decreased amount of a dose in the calculated point, but overall the calculation offers a 5% deviation from the normal value. 
  2. Protective characteristics of volumetric elements inside of internal modules are calculated by approximating the value using 1-dimensional geometry, with a middle line neutron spectre and gamma-radiation inside of the vehicle correlated with the thickness h = 2V/S, where V is the volume of an element and S is the area of a certain element. 
  3. AFVs contain volumetric elements (optics, breach, radio), which are 3-dimensional, which simply cannot be calculated by a program based on a 1-dimensional theory, some of the calculations made may cause deviations to a normal value by around 10%, compared to data made with using experiments which may cause deviations from 20%-25%. On the 4th stage based on previously acquired results, calculations are made to entirely optimize the received values so they align with the required protective with minimal amounts of anti-radiation material used. 

Materials used: "Защита Танков. Москва. Издательство МГТУ им. Н.Э. Баумана 2007"

Comments

Popular posts from this blog

Soviet Union/Russian thermal sight development history

GTD-1000 - GTD-1000TF - GTD-1250 Gas Turbine Engines

Progression of thermal imaging sight housings on Soviet AFVs